I recently got to chatting with Kate. She and her son are in RS2 Level E and she wondered how to help her son with the puzzle numbers. He was uninterested in the challenge and was rapidly losing interest in math altogether. I thought this would be a fantastic topic to share with you all.
First of all, what are puzzle numbers? They are introduced in Level E, Lesson 30 and are used pretty consistently throughout the first half of the year. The best way to explain what they are is to show you.
Using these four numbers shown below, write an equation using math symbols such as =, +, –, ×, ÷, ( ), and /. The numbers must stay in the same order. Can you see any options?

First one I saw was 3 + 4 = 2 + 5. Did you see that one too? How about 3 + 4 – 2 = 5? That works too!
Let’s try another puzzle. How about these numbers:
Any thoughts? Think it over before you check out my answers…..
The first one I found was 12 = 3 × 4. I will confess to peeking at the lesson book for 1 – 2 = 3 – 4 and -1 + 2 = -3 + 4. Yes, we can use negative numbers too!
Kate’s son wasn’t too thrilled with these puzzles. He was struggling and didn’t enjoy the challenging. I proceeded to tell Kate the source of the puzzle numbers and that ramped up the fun. So now I’m going to tell you where this idea of puzzle numbers came from!
When Dr. Cotter was a little girl in Madison WI, the license plates on vehicles were four digits. As the family would travel about, young Joan would look at the passing cars and see if she could make an equation out of the license plate. Here’s an old license plate:

Do you see any possible equations in this license plate? How about 2 + 9 = 8 + 3? Do you see another? I see at least two more. I’m going to let you puzzle through this yourself. Post your findings in the blog comments below!
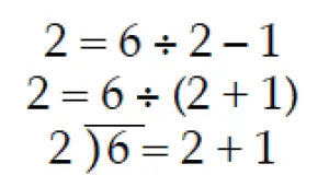
I was working with a school in Florida a number of years back. They were working on the puzzle numbers for the lesson warm-up. The day’s numbers were as follows:

What are you seeing for equations? How about these:
One young man was unconventional and read the numbers from right to left, rather than left to right. He did keep them in order! He came up with 12 = 6 × 2. What a phenomenal thinker! He looked beyond the assumed rules, kept the numbers in order, albeit from right to left, and made an equation! Now that’s an individual that will make a difference in the world.
So how do we help a child face the challenge of the puzzle? Sometimes knowing the source and reason surrounding the situation is helpful. Sometimes a child has breezed through their earlier math experience and hasn’t learned how play with and persevere through a more challenging situation. Sometimes a child simply doesn’t know the fun in math!
If a child is not experiencing fun in math, I wonder if they are playing the card games enough. The games are the review and practice in a fun and enjoyable setting. The emotions we experience while we learn something are frequently attached to the new information. Ironically, Kate and her son had not been playing the games. Kate said that is going to change immediately!
I challenge you to find and enhance the fun and joy in math this week. Have a great day and go play a math card game!
Filed Under: 2. Lessons, 4. General Info Tagged With: Level E, Math Card Games, puzzle numbers