This game was requested by Andrea on Facebook. So this one’s for you and yours, Andrea!
Concentrating on Sixths is game F19 in the Math Card Games book. This game combines a basic memory game with addition of fractions with unlike denominators. It also works with equivalent fractions using the sixths (which shouldn’t be a surprise given the name of the game!).
So let me take a minute to review equivalent fractions using sixths. Here’s our linear fraction chart with just the halves, thirds, and sixths.

What’s another name for one-half? Three-sixths.
What’s another name for one-third? Two-sixths.
What’s another name for two-thirds? Four sixths. This is equivalent fractions!
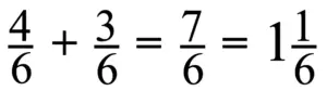
Now let’s look at doing some addition with these two fractions:

Change to the same denominator. Use the chart above to help find the equivalent fractions.

Adding together:

and changing to proper fractions, which is easily seen on the fraction chart here:


The game is shown in a video here. We’ll show you how to go through the process of finding equivalent fractions as well as adding the fractions to play the game.
There is an additional bonus game, Concentrating on Eighths, game F20 in the Math Card Games book, briefly discussed at the end of the video….
Let us know what you think of this game and what other games you want. We’re here to help!